基于多源数据城市快速路交通状态检测与估计
2019年06月04日 20:49         所属学院: []          点击:


附件5

湖南省大学生研究性学习和创新性实验计划

项  目  申  报 

 

项目名称: 

  • 如果您无法在线浏览此 PDF 文件,则可以

  • 下载免费小巧的 福昕(Foxit) PDF 阅读器,安装后即可在线浏览  或

  • 下载免费的 Adobe Reader PDF 阅读器,安装后即可在线浏览  或

  • 下载此 PDF 文件

学校名称

XK星空

学生姓名

学  号

专      业

性 别

入 学 年 份

杨紫晴

201430010206

交通运输

2014.09

曾颖辉

201411010205

交通工程

2014.09

唐海琴

201411010208

交通工程

2014.09

韩海瑞

201611010216

交通工程

2014.09

卞雨莹

201411010203

交通工程

2014.09

指导教师

龙科军

职称

教授

项目所属

一级学科

交通运输工程

项目科类(理科/文科)

理科

学生曾经参与科研的情况

交运1402杨紫晴,第一届湖南省物流设计大赛省三等奖,物流设计大赛校一等奖,大学生科技立项校三等奖,交通科技大赛校三等奖,交通未来大赛校三等奖,节能减排社会实践与科技竞赛校三等奖。

交工1402唐海琴,曾参与大学生创新实验科技立项优胜奖、获物流设计大赛校三等奖

交工1402韩海瑞,曾参与科技立项,获第十一届交科赛交科赛是全国二等奖。

交工1402曾颖辉,全国大学生“互联网+交通运输”创新创业大赛全国复赛二等奖、“小谷围”校级二等奖、大学生科技立项校级三等奖

交工1402班卞雨莹科技立项两项(均参与中),获经管“我创意,我做主”科研竞赛优胜奖

指导教师承担科研课题情况

1. 国家自然科学基金项目“城市快速路瓶颈路段交通拥堵时空演化及实时估计方法”(2017-2020)

2. 江西省交通科技计划项目“恶劣天气条件下高速公路交通状况监测及预警研究”(2014-2016)

3. 湖南省交通科技计划项目“城郊公路接入口布局与设计研究”(2016-2019)

项目研究和实验的目的、内容和要解决的主要问题

1. 项目研究目的:

如何利用先进的交通管理系统ATMS、先进的交通信息服务系统ATIS,改进快速路交通运行条件,提升通行效率,是当前许多特大、大型城市面临的重要课题。优秀的ATMS和ATIS系统必须依赖于准确、实时的交通状态检测、估计和预测,因此,针对我国城市快速路典型的道路、交通流特征,充分利用现有的交通流检测手段,运用合理的数据挖掘处理技术,准确快速估计、预测快速路的交通流状态,对于改进快速路交通运营管理十分重要。

本课题结合蓝牙数据,GPS浮动车数据,以及断面固定式检测数据(微波检测仪),综合交通流理论的基本原理和快速路交通运行的实际特点, 采用数据融合技术,深入研究城市快速路的交通态势检测和评估的多个关键理论与方法,最终实现对交通流状态的估计、对交通发展趋势的预测、以及对交通事故的检测。

与单源数据相比,多传感器数据进行融合可得到统计上的优势,使用多传感器数据还可以提高精度。

(l)采用数据融合技术可以获得更全面的交通流的特征信息

数据融合后,可以获得任何单一交通流信息采集方法不能获得的其它的交通流特征信息,增加了交通流特征信息、的维度。

(2)采用数据融合技术可以获得更加精确的交通流信息

采用单一交通信息采集方法得来的数据质量容易受到采集设备,天气等客观

因素的影响,而采用多种交通流信息采集方法可以在一定程度上克服客观因素的

影响。

(3)采用数据融合技术可以获得更加准确的交通运行状态评价结果

融合技术使各单一的交通流信息采集方法相互之间取长补短,因此融合后的数据比单一方法流采集的数据更准确。

基于此,本课题的研究构思如下:

(1)对现有相关研究成果的总结分析基础上,分析其不足,总结经验。

(2)采集数据,对数据源进行客观分析,包括各源数据采集方法及具体数据信息的介绍。

(3)对采集到的数据进行融合,研究最实用的融合算法,

(4)对经过融合处理的评价结果和未经融合处理的评价结果以及由前端融

合和后端融合处理得到的两个结果进行比较分析,给出结论和建议。

(5)采用计算机编程对程序的设计进行实现。

(5)通过得到的融合数据对交通事故进行检测。

2.研究内容:

利用卡尔曼滤波进行多源数据融合,进而估计城市快速路的交通状态,同时对比基于多源数据融合和基于单一数据估计的结果精度。

2.1 基于LWR模型的快速路交通流的刻画

将路段划分为I个元胞(每个长度为,记作i),时间划分成H个时间步(每个时长为,记作h)。为了满足Courant-Friedrichs-Lewy(CFL)稳定性条件,没有车辆可以在一个时间步中行驶出一个元胞,即

                     (1)

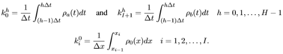
初始条件:

             (2)

边界条件:

  (3)

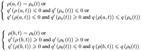
:t时刻,x处密度。

2.2 基于卡尔曼滤波算法的交通流状态估计

卡尔曼滤波利用递归方法解决随机线性离散系统的状态或参数估计问题。由状态方程和观测方程组成,并利用状态方程的递推性,按线性无偏最小均方误差估计准则,对状态变量作最佳估计。

(1)状态方程

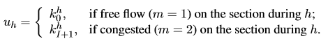
如果只考虑整个路段处于自由流动或拥挤状态,状态方程如下:

(4)

是时间步h的元胞i的密度。

其中δ= w /,w是后向冲击波速度。 方程(4)假设每个元胞长度相等和同样的基本图,在路段中没有车辆的驶入驶出(即没有匝道)。

状态方程矩阵形式如下:

 

(5)

向量是在时间步h的状态向量,矩阵Ah和Bh是时变的,它们在时间步h处取决于模式m。在自由流模式中m = 1,在拥塞模式中m = 2。wh表示状态方程的误差(由于错误或遗漏的计数引起,例如车辆变道)。输入uh是标量,并且与在计算域的边界处获得的测量相关(用于分别计算自由流或拥塞模式下的第一或最后一个元胞的密度)。事实上,如果整个路段在自由流或拥挤模式下:

 

(6)

 

(7)

    其中为边界条件;是初始条件。

(2)观测方程

观测方程如下:

 

(8)

yh是观测矢量,vh是测量误差。卡尔曼滤波还假设wh和vh是独立的,且服从均值为的正态分布。Ch的大小取决于h时间步处的拉格朗日观测值来自哪里,并且它仅包含0和1(假定可以从拉格朗日传感器观测到局部密度)。拉格朗日观测来自不同的元胞,并且在连续时间步长之间的观测数量可能不同。因此,等式(8)中的观测矢量y h将在不同的时间步长具有不同的维度。后者意味着矩阵Ch也将在每个时间步长具有不同的维度。

(3)递归方程

卡尔曼滤波递归方程如下:

(9)

(10)

(11)

(12)

(13)

 

:kh的先验状态估计;

:kh的后验状态估计;

:先验估计误差协方差矩阵;

:后验估计误差协方差矩阵。

假定已知初始条件。 Q和R分别是过程协方差矩阵和测量误差协方差矩阵。 Fh是时间步h的卡尔曼增益。矩阵Ch在每个时间步长具有不同的维度,这意味着协方差矩阵R的维数可变。

在每个时间步开始时,交通状态需要被识别(为了决定矩阵A和B)。一旦在时间步h + 1的开始已经识别出模式,则使用公式(9)和(10)来分别获得先验密度估计和协方差(使用从检测器站提供的欧拉数据)。此时拉格朗日数据将提供给模型,即一些元胞在时间步h + 1处的观测密度是已知的(在时间步h + 1的拉格朗日传感器的数量和位置将决定观测密度的数量和哪些元胞的密度被观测)。利用该信息,可以构造观测矢量 和矩阵。然后,使用公式(11)计算卡尔曼滤波器增益。最后,利用式(12)和(13)分别得到后验密度估计和后验估计协方差矩阵。若在h+1没有观测数据,矩阵等于0,意味着卡尔曼增益也是0,因此后验密度估计等于先验密度估计。

3. 拟解决的主要问题:

(1)交通流状态数据的采集

(2)数据处理及融合方法

(3)基于卡尔曼滤波的快速路交通状态估计

(4)基于交通流数据的交通事故发生预测

(5)设计程序的实现

国内外研究现状和发展动态

信息的融合处理可以实行数据间的优势互补,多信息源往往比单信息源更有价值。近年来,数据融合技术在国内外的交通领域也被广泛研究及应用。交通领域的研究现状主要如下:

2001年,Choi和Chung采用数据融合方法利用GPS数据和线圈检测器数据进行行程时间的估计。该研究的主要内容是进行传统数据融合方法算法的开发,通过开发的新方法估计拥堵路网中线路的行程时间。

 2002年,Klein和LA等将数据融合的D-S理论应用于先进的交通管理决策支持系统中,并用实际数据对其进行了测试,提出了前端融合和后端融合的两种融合方式,通过实例融合方案结果比较得出计算相对准确的一种融合方式,开拓了数据融合在交通领域应用的思路。

2004年,Lianyu Chu和Will Receker针对快速路和高速公路提出了利用自适应卡尔曼滤波法。通过该方法进行基于线圈数据和浮动车数据的行程时间估计的在线融合算法。

2005年,研究人员温慧敏针对常见的事件信息源固定检测线圈、人工报告、浮动车,提出了融合多源信息的事件检测框架,采用二级融合的方法建立了多源数据融合模型和算法,并使用模拟数据进行了检验。

2005年,Bertini和Boice利用ITS数据融合来检测不同速度限制下高速公路的流量动态。重点在于解决高速公路南行方向发生在出入口匝道处的交通瓶颈。研究中使用累计车辆与平均速度转换曲线来显示交通流的重要特征以及解决瓶颈的必要性。

2006年,Zou和Zhu基于BP神经网络,利用动态、静态检测器数据建立了行程时间估计的数据融合模型。研究结果显示,通过该模型融合后的数据精度明显高于单源检测器数据。

2006年,于江波、陈后金利用交通控制系统的实测数据,应用误差反传神经网络(预测交通流量,此模型具有实时预测功能,预测结果比较令人满意。

2007年,Chris M.J Tamper等人建立了交通状态评价与预测网络模型。该研究将非线性的CTM转化成线性的卡尔曼滤波法,对交通状态、模型参数、边界条件分别建立模型,使它们能在网络环境下自动估计交通条件和模型参数,获得对交通条件和旅行时间的短期预测。通过对高速公路上交通事故的仿真进行可行性研究,网络模型可以获得交通量的突减、拥堵的产生、旅行时间的增加等信息,但模型中所需的交通数据仅来自固定交通检测设备。

2007年,杨兆升,冯金巧等人基于卡尔曼滤波理论,针对目前的多源交通信息采集系统,分别提出了2种断面交通量融合模型。

2008年,针对单种检测手段获取的交通流数据评价道路交通运行状态存在较大误差的情况,张旭以浮动车数据、微波检测器数据以及车牌识别数据三种不同检测手段得到的异质交通流数据作为研究对象,研究面向交通运行状态评价的数据融合技术,得到较好的效果。

2009年,翟雅峤、翁剑成等人以多源交通检测系统的交通流数据为基础进行数据融合,从而实现短时交通预测。该研究首先提出了一种基于卡尔曼滤波法的数据融合方法,并根据速度及占有率对交通数据进行交通状态划分,然后利用卡尔曼滤波法对交通数据进行融合,实现区间速度的预测。结果表明,该模型能够有效地提高区间预测速度的准确性。

2009年,杨兆升等人基于快速路上截面数据和车牌识别数据,提出了基于遗传算法优化的神经网络数据融合算法,并通过vissim仿真数据验证了模型的精度。

2010年,武汉大学的曹晶对城市路网中浮动车数据和线圈数据的融合进行了探讨。该研究在对浮动车数据和线圈数据特征进行分析的基础上,对数据融合进行两种研究方法的探讨,即通过仿真数据和现场采集数据分别作为融合数据源来验证模型。

2010年,田智韬针对浮动车数据和固定检测器数据给出了数据融合的整体框架,借助Paramics仿真软件对路段平均速度进行融合仿真,证明模型的有效性。

2010年,刘亮平基于多源交通检测器获得的微波检测器数据、线圈检测器数据、牌照识别检测器数据及gps出租车数据,按照路段性质、道路等级、高平峰建立了BP神经网络融合模型,并通过有效性判断,得到预期的效果。

2011年,张赫、王炜等人基于多源交通信息融合技术在交通控制系统中的应用,运用神经网络技术构造了一种数据融合方法,并结合线圈流量模拟数据对方法进行了有效的验证。

2011年,胡小文等人引入自适应式卡尔曼滤波,建立了基于固定检测器数据和移动检测器数据的路段行程时间估计融合模型。实际数据验证结果表明该方法极大地改善了估计精度和可靠性。

2011年,王维敏针对传统交通事件检测方法的不足,提出了一种基于数据融合的交通事件检测方法。该研究结合了直接检测与间接检测的优势,有效提高了交通事件自动检测的效率。

2009-2010年,台湾交通大学的Lee等人,采用数据挖掘技术对实时数据和历史数据的权重分配问题进行了研究,在此基础上构建了协作式的实时交通信息采集、融合及共享框架,使得驾驶员可以通过位置及事件探测装置反馈交通事件信息,并且和实时及历史交通信息数据进行融合,实现对未来交通状态的预测。

2011年,李莉基于手机采集数据和GPS浮动车采集数据,利用D-S数据融合方法进行数据融合,估计道路的交通状态。经实例验证表明:相对单一数据源该方法能提供时空覆盖面更广,精度更高的实时道路交通状态信息。

2013年,Chris Bachmann , Matthew J. Roorda , Baher Abdulhai & Behzad Moshiri等人对蓝牙数据与检测线圈数据融合分析后进行了探讨,用其估计行程时间和交通速度。

2015年,Paul B.C. van Erp对浮动车法与检测线圈数据融合,使用扩展卡尔曼滤波法,提出了一种能够使用组合环路检测数据(LDD)和浮动车数据(FCD)的的高速公路交通状态估计方法。

综上所述,数据采集具有多源性,随着蓝牙、移动数据、GPS等数据的发展采集来源范围也在不断增加,一方面国内外专家之前的研究主要数据来源局限于一种或两种检测器,多源数据融合在某种程度上未能达到,另一方面研究多是基于某一普通路段或路网展开的,条件较为理想,而快速路等具有匝道出入的复杂路段有效性有待验证。

 

本项目学生有关的研究积累和已取得的成绩

 

暂无成绩

项目的创新点和特色

1、创新点:

(1)建立了一套基于城市快速路交通基本特性以及环形检测线圈数据、浮动车GPS数据、蓝牙检测数据三种数据的多元数据融合的检测系统。

(2)建立了城市快速路交通拥堵和交通事件辨别系统,通过检测器传回的数据系统进行融合后我们可以尽可能清楚准确地知道交通拥堵或者交通事故的位置,可以用于提醒有关部门尽早做出交通疏导和救援工作。

2、特色:

(1)引入了改进元胞传输模型、卡尔曼滤波算法,构建拓展卡尔曼滤波交通状态多步预测模型、基于改进元胞模型的城市快速路交通状态估计城市快速路实时估计模型,综合利用两种估计结果,从而形成较为完善的城市快速路状态估计体系。

(2)基于多源数据融合的估计精度比单个高,能较准确地掌握交通状态。

项目的技术路线及预期成果

1.技术路线

从国内快速路的实际道路条件和交通特性出发,运用交通工程学、交通流理论、交通仿真技术和统计学等相关知识,综合利用专用车辆检测器、浮动车GPS数据、蓝牙技术等多种数据来源,对城市快速路交通状态进行实时估计,旨在为城市快速路交通系统控制与管理提供科学的依据。具体的技术路线流程图如下所示:

 

 

 

 

 

 

 

 

 

 

 

 

 

 

 

 

 

 

 

 

 

 

 

 

 

 

 

 

 

 

 

 

 

 

 

 

 

 

 

 

 

 

 

 

 

 

 

 

 

 

 

 

 

 

 

 

 

 

2.预期成果

(1)对国内城市快速路交通特性进行采样分析,总结国内城市快速路的特点。以长沙万家丽高架桥快速路为例,对其路段长度、匝道、交通流时空分布特性进行详细的分析。根据其交通特性,在充分利用其固有交通检测器的基础上根据需要增加检测设备,建立微波检测线圈数据、浮动车数据、蓝牙检测数据三种数据的检测系统。

(2)基于城市快速路交通基本特性及微波检测数据、浮动车GPS检测数据、蓝牙检测数据三源数据的收集及预处理系统的建立;多源数据融合模型的建立。

(3)引入改进元胞传输模型、卡尔曼滤波算法,构建拓展卡尔曼滤波交通状态多步预测模型、基于改进元胞模型的城市快速路交通状态估计城市快速路实时估计模型,综合利用两种估计结果,从而形成较为完善的城市快速路状态估计体系。

(4)建立城市快速路交通拥堵与交通事件判别系统,基于以上估计模型的估计数据,使得能够对城市快速路交通拥堵与交通事件进行实时估计,以便相关部门采取及时的管理或解决措施。

(5)以长沙市万家丽路高架桥为例,对该整体的交通状态估计体系的实用性和精度进行检测评价,并得出结论和改进方案。

年度目标和工作内容(分年度写)

2017年4月-2017年10月 :

1、广泛阅读文献阅读、查阅资料,对有关现状进行研究

2、对数据融合方法研究

3、完成数据采集

4、数据处理及融合应用

5、数据融合

2017年10月-2018年4月:

1、交通状态检测与估计

2、交通事故检测应用

3、软件设计

指导教师意见

 

 

 

 

 

 

签字:                   日期:

注:本表栏空不够可另附纸张